Clonixin
Names
Preferred IUPAC name
2-(3-Chloro-2-methylanilino)pyridine-3-carboxylic acid
Other names
Clonixic acid; CBA 93626[1]
Identifiers
3D model (JSmol)
ChEBI
ChEMBL
ChemSpider
ECHA InfoCard 100.037.921
KEGG
UNII
  • InChI=1S/C13H11ClN2O2/c1-8-10(14)5-2-6-11(8)16-12-9(13(17)18)4-3-7-15-12/h2-7H,1H3,(H,15,16)(H,17,18) ☒N
    Key: CLOMYZFHNHFSIQ-UHFFFAOYSA-N ☒N
  • InChI=1/C13H11ClN2O2/c1-8-10(14)5-2-6-11(8)16-12-9(13(17)18)4-3-7-15-12/h2-7H,1H3,(H,15,16)(H,17,18)
    Key: CLOMYZFHNHFSIQ-UHFFFAOYAG
  • O=C(O)C1=CC=CN=C1NC2=C(C)C(Cl)=CC=C2
Properties
C13H11ClN2O2
Molar mass 262.69 g·mol−1
Pharmacology
per os
Pharmacokinetics:
Glucuronidation via UGT2B7
Legal status
  • US: Not sold in the U.S.
Except where otherwise noted, data are given for materials in their standard state (at 25 °C [77 °F], 100 kPa).
☒N verify (what is checkY☒N ?)
Infobox references

Clonixin is a nonsteroidal anti-inflammatory drug (NSAID). It also has analgesic, antipyretic, and platelet-inhibitory actions. It is used primarily in the treatment of chronic arthritic conditions and certain soft tissue disorders associated with pain and inflammation.

Synthesis

Clonixin synthesis: M. H. Sherlock, N. Sperber, BE 679271 ; eidem, U.S. Patent 3,337,570 (1966, 1967 both to Schering).

Clonixeril

The glyceryl ester of clonixin, clonixeril, is also an NSAID. It was prepared by a somewhat roundabout method.

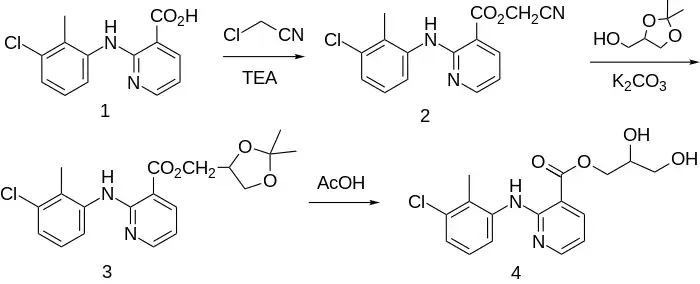
Clonixeril synthesis:[2][3]

Clonixin was reacted with chloroacetonitrile and triethylamine to give 2. Heating with potassium carbonate and glycerol acetonide displaced the activating group to produce ester 3, which was deblocked in acetic acid to produce clonixeril (4).

See also

References

  1. Finch, Jay S.; Dekornfeld, Thomas J. (1971). "Clonixin: A Clinical Evaluation of a New Oral Analgesic". The Journal of Clinical Pharmacology and New Drugs. 11 (5): 371–377. doi:10.1177/009127007101100508. hdl:2027.42/67636. PMID 4935715. S2CID 38883141. Retrieved 2015-05-21.
  2. M. H. Sherlock, ZA 6802185 (1968); Chem. Abstr., 70: 96640c (1969).
  3. CH 534129 (1973); Chem. Abstr., 79: 18582g (1973).


This article is issued from Wikipedia. The text is licensed under Creative Commons - Attribution - Sharealike. Additional terms may apply for the media files.