In algebra, flat modules include free modules, projective modules, and, over a principal ideal domain, torsion free modules. Formally, a module M over a ring R is flat if taking the tensor product over R with M preserves exact sequences. A module is faithfully flat if taking the tensor product with a sequence produces an exact sequence if and only if the original sequence is exact.
Flatness was introduced by Jean-Pierre Serre (1956) in his paper Géometrie Algébrique et Géométrie Analytique.
Definition
A left module M over a ring R is flat if the following condition is satisfied: for every injective linear map of right R-modules, the map
is also injective, where is the map induced by
For this definition, it is enough to restrict the injections to the inclusions of finitely generated ideals into R.
Equivalently, an R-module M is flat if the tensor product with M is an exact functor; that is if, for every short exact sequence of R-modules the sequence is also exact. (This is an equivalent definition since the tensor product is a right exact functor.)
These definitions apply also if R is a non-commutative ring, and M is a left R-module; in this case, K, L and J must be right R-modules, and the tensor products are not R-modules in general, but only abelian groups.
Characterizations
Flatness can also be characterized by the following equational condition, which means that R-linear relations in M stem from linear relations in R.
A left R-module M is flat if and only if, for every linear relation
with and , there exist elements and such that[1]
- for
and
- for
It is equivalent to define n elements of a module, and a linear map from to this module, which maps the standard basis of to the n elements. This allows rewriting the previous characterization in terms of homomorphisms, as follows.
An R-module M is flat if and only if the following condition holds: for every map where is a finitely generated free R-module, and for every finitely generated R-submodule of the map factors through a map g to a free R-module such that

Relations to other module properties
Flatness is related to various other module properties, such as being free, projective, or torsion-free. In particular, every flat module is torsion-free, every projective module is flat, and every free module is projective.
There are finitely generated modules that are flat and not projective. However, finitely generated flat modules are all projective over the rings that are most commonly considered. Moreover, a finitely generated module is flat if and only it is locally free, meaning all the localisations at prime ideals are free modules.
This is partly summarized in the following graphic.

Torsion-free modules
Every flat module is torsion-free. This results from the above characterization in terms of relations by taking m = 1.
The converse holds over the integers, and more generally over principal ideal domains and Dedekind rings.
An integral domain over which every torsion-free module is flat is called a Prüfer domain.
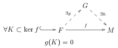
Free and projective modules
A module M is projective if and only if there is a free module G and two linear maps and such that In particular, every free module is projective (take and ).
Every projective module is flat. This can be proven from the above characterizations of flatness and projectivity in terms of linear maps by taking and
Conversely, finitely generated flat modules are projective under mild conditions that are generally satisfied in commutative algebra and algebraic geometry. This makes the concept of flatness useful mainly for modules that are not finitely generated.
A finitely presented module (that is the quotient of a finitely generated free module by a finitely generated submodule) that is flat is always projective. This can be proven by taking f surjective and in the above characterization of flatness in terms of linear maps. The condition implies the existence of a linear map such that and thus As f is surjective, one has thus and M is projective.
Over a Noetherian ring, every finitely generated flat module is projective, since every finitely generated module is finitely presented. The same result is true over an integral domain, even if it is not Noetherian.[2]
On a local ring every finitely generated flat module is free.[3]
A finitely generated flat module that is not projective can be built as follows. Let be the set of the infinite sequences whose terms belong to a fixed field F. It is a commutative ring with addition and multiplication defined componentwise. This ring is absolutely flat (that is, every module is flat). The module where I is the ideal of the sequences with a finite number of nonzero terms, is thus flat and finitely generated (only one generator), but it is not projective.
Non-examples
- If I is an ideal in a Noetherian commutative ring R, then is not a flat module, except if I is generated by an idempotent (that is an element equal to its square). In particular, if R is an integral domain, is flat only if equals R or is the zero ideal.
- Over an integral domain, a flat module is torsion free. Thus a module that contains nonzero torsion elements is not flat. In particular and all fields of positive characteristics are non-flat -modules, where is the ring of integers, and is the field of the rational numbers.
Direct sums, limits and products
A direct sum of modules is flat if and only if each is flat.
A direct limit of flat is flat. In particular, a direct limit of free modules is flat. Conversely, every flat module can be written as a direct limit of finitely-generated free modules.[4]
Direct products of flat modules need not in general be flat. In fact, given a ring R, every direct product of flat R-modules is flat if and only if R is a coherent ring (that is, every finitely generated ideal is finitely presented).[5]
Flat ring extensions
A ring homomorphism is flat if S is a flat R-module for the module structure induced by the homomorphism. For example, the polynomial ring R[t] is flat over R, for any ring R.
For any multiplicative subset of a commutative ring , the localization is a flat R-algebra (it is projective only in exceptional cases). For example, is flat and not projective over
If is an ideal of a Noetherian commutative ring the completion of with respect to is flat.[6] It is faithfully flat if and only if is contained in the Jacobson radical of (See also Zariski ring.)[7]
Local property
In this section, R denotes a commutative ring. If is a prime ideal of R, the localization at is, as usual, denoted with as an index. That is, and, if M is an R-module,
If M is an R-module the three following conditions are equivalent:
- is a flat -module;
- is a flat -module for every prime ideal
- is a flat -module for every maximal ideal
This property is fundamental in commutative algebra and algebraic geometry, since it reduces the study of flatness to the case of local rings. They are often expressed by saying that flatness is a local property.
Flat morphisms of schemes
The definition of a flat morphism of schemes results immediately from the local property of flatness.
A morphism of schemes is a flat morphism if the induced map on local rings
is a flat ring homomorphism for any point x in X.
Thus, properties of flat (or faithfully flat) ring homomorphisms extends naturally to geometric properties of flat morphisms in algebraic geometry.
For example, consider the flat -algebra (see below). The inclusion induces the flat morphism
Each (geometric) fiber is the curve of equation (See also flat degeneration and deformation to normal cone.)
Let be a polynomial ring over a commutative Noetherian ring and a nonzerodivisor. Then is flat over if and only if is primitive (the coefficients generate the unit ideal).[8] An example is[9] which is flat (and even free) over (see also below for the geometric meaning). Such flat extensions can be used to yield examples of flat modules that are not free and do not result from a localization.
Faithful flatness
A module is faithfully flat if taking the tensor product with a sequence produces an exact sequence if and only if the original sequence is exact. Although the concept is defined for modules over a non-necessary commutative ring, it is used mainly for commutative algebras. So, this is the only case that is considered here, even if some results can be generalized to the case of modules over a non-commutaive ring.
In this section, is a ring homomorphism of commutative rings, which gives to the structures of an -algebra and an -module. If is a -module flat (or faithfully flat), one says commonly that is flat (or faithfully flat) over and that is flat (or faithfully flat).
If is flat over the following conditions are equivalent.
- is faithfully flat.
- For each maximal ideal of , one has
- If is a nonzero -module, then
- For every prime ideal of there is a prime ideal of such that In other words, the map induced by on the spectra is surjective.
- is injective, and is a pure subring of that is, is injective for every -module .[lower-alpha 1]
The second condition implies that a flat local homomorphism of local rings is faithfully flat. It follows from the last condition that for every ideal of (take ). In particular, if is a Noetherian ring, then is also Noetherian.
The last but one condition can be stated in the following strengthened form: is submersive, which means that the Zariski topology of is the quotient topology of that of (this is a special case of the fact that a faithfully flat quasi-compact morphism of schemes has this property.[10]). See also Flat morphism § Properties of flat morphisms.
Examples
- A ring homomorphism such that is a nonzero free R-module is faithfully flat. For example:
- Every field extension is faithfully flat. This property is implicitly behind the use of complexification for proving results on real vector spaces.
- A polynomial ring is a faithfully flat extension of its ring of coefficients.
- If is a monic polynomial, the inclusion is faithfully flat.
- Let The direct product of the localizations at the is faithfully flat over if and only if generate the unit ideal of (that is, if is a linear combination of the ).[11]
- The direct sum of the localizations of at all its prime ideals is a faithfully flat module that is not an algebra, except if there are finitely many prime ideals.
The two last examples are implicitly behind the wide use of localization in commutative algebra and algebraic geometry.
- For a given ring homomorphism there is an associated complex called the Amitsur complex:[12]
where the coboundary operators are the alternating sums of the maps obtained by inserting 1 in each spot; e.g., . Then (Grothendieck) this complex is exact if is faithfully flat.
Faithfully flat local homomorphisms
Here is one characterization of a faithfully flat homomorphism for a not-necessarily-flat homomorphism. Given an injective local homomorphism such that is an -primary ideal, the homomorphism is faithfully flat if and only if the theorem of transition holds for it; that is, for each -primary ideal of , [13]
Homological characterization using Tor functors
Flatness may also be expressed using the Tor functors, the left derived functors of the tensor product. A left -module is flat if and only if
- for all and all right -modules ).[lower-alpha 2]
In fact, it is enough to check that the first Tor term vanishes, i.e., M is flat if and only if
for any -module or, even more restrictively, when and is any finitely generated ideal.
Using the Tor functor's long exact sequences, one can then easily prove facts about a short exact sequence
If and are flat, then so is . Also, if and are flat, then so is . If and are flat, need not be flat in general. However, if is pure in and is flat, then and are flat.
Flat resolutions
A flat resolution of a module is a resolution of the form
where the are all flat modules. Any free or projective resolution is necessarily a flat resolution. Flat resolutions can be used to compute the Tor functor.
The length of a finite flat resolution is the first subscript n such that is nonzero and for . If a module admits a finite flat resolution, the minimal length among all finite flat resolutions of is called its flat dimension[14] and denoted . If does not admit a finite flat resolution, then by convention the flat dimension is said to be infinite. As an example, consider a module such that . In this situation, the exactness of the sequence indicates that the arrow in the center is an isomorphism, and hence itself is flat.[lower-alpha 3]
In some areas of module theory, a flat resolution must satisfy the additional requirement that each map is a flat pre-cover of the kernel of the map to the right. For projective resolutions, this condition is almost invisible: a projective pre-cover is simply an epimorphism from a projective module. These ideas are inspired from Auslander's work in approximations. These ideas are also familiar from the more common notion of minimal projective resolutions, where each map is required to be a projective cover of the kernel of the map to the right. However, projective covers need not exist in general, so minimal projective resolutions are only of limited use over rings like the integers.
Flat covers
While projective covers for modules do not always exist, it was speculated that for general rings, every module would have a flat cover, that is, every module M would be the epimorphic image of a flat module F such that every map from a flat module onto M factors through F, and any endomorphism of F over M is an automorphism. This flat cover conjecture was explicitly first stated in Enochs (1981, p. 196). The conjecture turned out to be true, resolved positively and proved simultaneously by L. Bican, R. El Bashir and E. Enochs.[15] This was preceded by important contributions by P. Eklof, J. Trlifaj and J. Xu.
Since flat covers exist for all modules over all rings, minimal flat resolutions can take the place of minimal projective resolutions in many circumstances. The measurement of the departure of flat resolutions from projective resolutions is called relative homological algebra, and is covered in classics such as Mac Lane (1963) and in more recent works focussing on flat resolutions such as Enochs and Jenda (2000).
In constructive mathematics
Flat modules have increased importance in constructive mathematics, where projective modules are less useful. For example, that all free modules are projective is equivalent to the full axiom of choice, so theorems about projective modules, even if proved constructively, do not necessarily apply to free modules. In contrast, no choice is needed to prove that free modules are flat, so theorems about flat modules can still apply.[16]
See also
- Generic flatness
- Flat morphism
- von Neumann regular ring – rings over which all modules are flat.
- Normally flat ring
Notes
- ↑ Proof: Suppose is faithfully flat. For an R-module the map exhibits as a pure subring and so is injective. Hence, is injective. Conversely, if is a module over , then
- ↑ Similarly, a right -module is flat if and only if for all and all left -modules .
- ↑ A module isomorphic to a flat module is of course flat.
Citations
- ↑ Bourbaki, Ch. I, § 2. Proposition 13, Corollary 1
- ↑ Cartier 1958, Lemme 5, p. 249
- ↑ Matsumura 1986, Theorem 7.10
- ↑ Lazard 1969
- ↑ Chase 1960
- ↑ Matsumura 1970, Corollary 1 of Theorem 55, p. 170
- ↑ Matsumura 1970, Theorem 56
- ↑ Eisenbud 1995, Exercise 6.4
- ↑ Artin, p. 3
- ↑ SGA I, Exposé VIII., Corollay 4.3
- ↑ Artin 1999, Exercise (3) after Proposition III.5.2
- ↑ "Amitsur Complex". ncatlab.org.
- ↑ Matsumura 1986, Ch. 8, Exercise 22.1
- ↑ Lam 1999, p. 183
- ↑ Bican, El Bashir & Enochs 2001
- ↑ Richman 1997
References
- Artin. "Deformation theory" (PDF). Archived (PDF) from the original on 18 November 2019.
- Artin, Michael (1999). "Noncommutative Rings" (PDF).
- Bican, L.; El Bashir, R.; Enochs, E. (2001), "All modules have flat covers", Bull. London Math. Soc., 33 (4): 385–390, doi:10.1017/S0024609301008104, ISSN 0024-6093, MR 1832549
- Cartier, Pierre (1958). "Questions de rationalité des diviseurs en géométrie algébrique". Bulletin de la Société Mathématique de France (in French). 86: 177–251. doi:10.24033/bsmf.1503.
- Bourbaki, Nicolas. Commutative Algebra.
- Chase, Stephen U. (1960), "Direct products of modules", Transactions of the American Mathematical Society, 97 (3): 457–473, doi:10.2307/1993382, JSTOR 1993382, MR 0120260
- Eisenbud, David (1995), Commutative algebra, Graduate Texts in Mathematics, vol. 150, Berlin, New York: Springer-Verlag, doi:10.1007/978-1-4612-5350-1, ISBN 978-0-387-94268-1, MR 1322960
- Enochs, Edgar E. (1981), "Injective and flat covers, envelopes and resolvents", Israel Journal of Mathematics, 39 (3): 189–209, doi:10.1007/BF02760849, ISSN 0021-2172, MR 0636889, S2CID 120567780
- Enochs, Edgar E.; Jenda, Overtoun M. G. (2000), Relative homological algebra, de Gruyter Expositions in Mathematics, vol. 30, Berlin: Walter de Gruyter & Co., doi:10.1515/9783110803662, ISBN 978-3-11-016633-0, MR 1753146
- Kunz, Ernst (1969), "Characterizations of regular local rings of characteristic p", American Journal of Mathematics, 91 (3): 772–784, doi:10.2307/2373351, JSTOR 2373351, MR 0252389
- Lam, Tsit-Yuen (1999), Lectures on modules and rings, Graduate Texts in Mathematics No. 189, vol. 189, Berlin, New York: Springer-Verlag, doi:10.1007/978-1-4612-0525-8, ISBN 978-0-387-98428-5, MR 1653294
- Lazard, Daniel (1969), "Autour de la platitude", Bulletin de la Société Mathématique de France, 97: 81–128, doi:10.24033/bsmf.1675
- Mac Lane, Saunders (1963), Homology, Die Grundlehren der mathematischen Wissenschaften, Bd. 114, Boston, MA: Academic Press, MR 0156879
- Matsumura, Hideyuki (1970), Commutative algebra
- Matsumura, Hideyuki (1986). Commutative ring theory. Cambridge Studies in Advanced Mathematics. Vol. 8. Cambridge University Press. ISBN 0-521-36764-6. MR 0879273. Zbl 0603.13001.
- Mumford, David, The red book of varieties and schemes
- Northcott, D. G. (1984), Multilinear algebra, Cambridge University Press, p. 33, ISBN 978-0-521-26269-9
- Richman, Fred (1997), "Flat dimension, constructivity, and the Hilbert syzygy theorem", New Zealand Journal of Mathematics, 26 (2): 263–273, ISSN 1171-6096, MR 1601663
- SGA 1, Exposé VIII – this is the main reference (but it depends on a result from Giraud (1964), which replaced (in much more general form) the unpublished Exposé VII of SGA1)
- Serre, Jean-Pierre (1956), "Géométrie algébrique et géométrie analytique", Annales de l'Institut Fourier, 6: 1–42, doi:10.5802/aif.59, ISSN 0373-0956, MR 0082175