Leuckart reaction
Named after Rudolf Leuckart
Reaction type Substitution reaction
Identifiers
RSC ontology ID RXNO:0000101

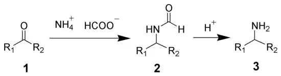
The Leuckart reaction is the chemical reaction that converts aldehydes or ketones to amines by reductive amination in the presence of heat.[1][2] The reaction, named after Rudolf Leuckart, uses either ammonium formate or formamide as the nitrogen donor and reducing agent.[3] It requires high temperatures, usually between 120 and 130 °C; for the formamide variant, the temperature can be greater than 165 °C.[1]

The ketone is converted to an amine via reductive amination using ammonium formate

History

The Leuckart reaction is named in honor of its developer, the German chemist Rudolf Leuckart (1854–1899). He discovered that heating benzaldehyde with formamide does not produce benzylidenediformamide as anticipated, but benzylamine.[4] In 1891, a colleague of Leuckart at the University of Göttingen, Otto Wallach, performed further reactions using alicyclic and terpenoid ketones as well as aldehydes, demonstrating the general application.[4] Over the course of the past century, chemists have discovered several methods to improve the yield of the reaction and carry it out under less strenuous conditions. Pollard and Young summarized various ways in which amines can be formed: using either formamide or ammonium formate, or both, or adding formic acid to formamide.[3] However, using just ammonium formate as the reagent produces the best yields.[1][3] Using formamide produces low yields compared to ammonium formate but yields can be increased by using large amount of formamide, or using ammonium formate, ammonium sulfate, and magnesium chloride as catalysts.[5]

Mechanism

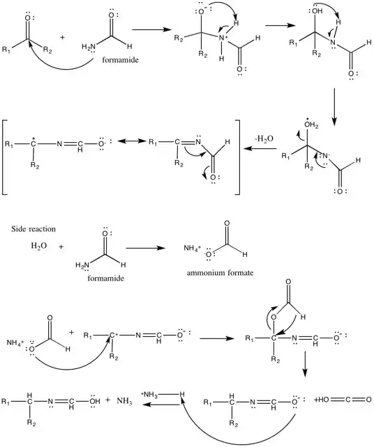
Ammonium formate as reagent

The mechanism depicts the conversion of ketone (or aldehyde) to an amine using ammonium formate as a reagent.

Ammonium formate first dissociates into formic acid and ammonia. Ammonia then performs a nucleophilic attack on the carbonyl carbon.[3] The oxygen deprotonates hydrogen from nitrogen to form a hydroxyl. The hydroxyl is protonated using hydrogen from formic acid, which allows for water molecule to leave. This forms a carbocation, which is resonance stabilized. The compound attacks hydrogen from the deprotonated formic acid from previous step, forming a carbon dioxide and an amine.

Formamide as reagent

The scheme depicts the mechanism for the Leuckart reaction using formamide as the reducing agent.

Formamide first nucleophilically attacks the carbonyl carbon.[3] The oxygen is protonated by abstracting hydrogen from the nitrogen atom, subsequently forming a water molecule that leaves, forming N-formyl derivative, which is resonance stabilized.[3] Water hydrolyzes formamide to give ammonium formate, which acts as a reducing agent and adds on to the N-formyl derivative. Hydride shift occurs, resulting in loss of carbon dioxide. Ammonium ion is added forming an imine and releasing ammonia. The imine goes through hydrolysis to form the amine, which is depicted in the scheme below.

Hydrolysis of imine

Applications

A notable example of the Leuckart reaction is its use in the synthesis of tetrahydro-1,4 benzodiazepin-5-one, a molecule that is part of the benzodiazepine family.[6] Many compounds in this family of molecules are central nervous system suppressants and are associated with therapeutic uses and a variety of medications, such as antibiotics, antiulcer, and anti-HIV agents.[6] Researchers were able to synthesize tetrahydro-1,4-benzodiazepin-5-ones with excellent yields and purities by utilizing the Leuckart Reaction. Researchers performed the reaction via solid-phase synthesis and used formic acid as the reducing agent.[6]

See also

References

  1. 1 2 3 Alexander, Elliot; Ruth Bowman Wildman (1948). "Studies on the Mechanism of the Leuckart Reaction". Journal of the American Chemical Society. 70 (3): 1187–1189. doi:10.1021/ja01183a091. PMID 18909189.
  2. Ingersoll, A. W. (1937). "α-Phenylethylamine". Organic Syntheses. 17: 76. doi:10.15227/orgsyn.017.0076.
  3. 1 2 3 4 5 6 Pollard, C.B.; David C. Young (1951). "The Mechanism of the Leuckart Reaction". Journal of Organic Chemistry. 16 (5): 661–672. doi:10.1021/jo01145a001.
  4. 1 2 Crossley, Frank S.; Maurice L. Moore (1944). "Studies on the Leuckart Reaction". Journal of Organic Chemistry. 9 (6): 529–536. doi:10.1021/jo01188a006.
  5. Webers, Vincent J.; William F. Bruce (1948). "The Leuckart Reaction: A study of the Mechanism". Journal of the American Chemical Society. 70 (4): 1422–1424. doi:10.1021/ja01184a038. PMID 18915755.
  6. 1 2 3 Lee, Sung-Chan; Seung Bum Park (2007). "Novel application of Leuckart–Wallach reaction for synthesis of tetrahydro-1,4-benzodiazepin-5-ones library". Chemical Communications (36): 3714–3716. doi:10.1039/B709768A. PMID 17851604.
This article is issued from Wikipedia. The text is licensed under Creative Commons - Attribution - Sharealike. Additional terms may apply for the media files.